快猫短视频

快猫短视频公告
当前位置: 主页 >> 快猫短视频公告 >> 正文

2012届医学类毕业考试、论文答辩、技能考核日程安排表

时间:2012-06-15 点击:

快猫短视频 医学部文件

江大医字[2012]4号

关于2012年医学类优秀临床实习生的表彰决定

各实习医院,各学院:

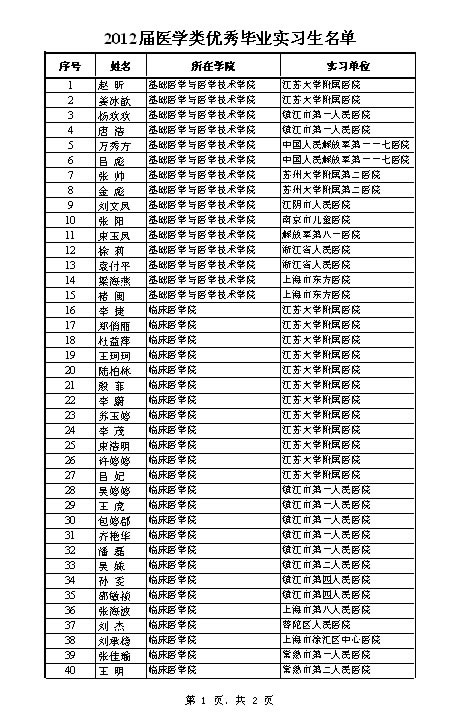
为了更好地调动医学类学生的临床实习积极性,提高临床实习质量,经各实习组民主推荐,实习单位审核,医学部、教务处会同相关学院研究决定,授予赵昕等64名同学为2012年“优秀临床实习生”。(名单附后)

希望受表彰的同学再接再厉,在今后的工作岗位上再创佳绩!

医学部 教务处

二O一二年五月二十八日

主题词:医学类优秀实习生 表彰决定

主 送:田立新副校长 施卫东副校长

地址:江苏省镇江市医政路3号 邮编:212001

电子邮箱:[email protected] 联系电话:0511-85038445

版权所有:快猫短视频-快猫短视频成人版官方下载 Copyright © 2024 kmshort1.com All Rights Reserved

您是本站第 位访客!